Publicado em: 17.12.2020
Para calcular a viabilidade financeira de um negócio é preciso verificar se as entradas de recursos vão superar os investimentos realizados ao longo de determinado período e se esse valor auferido remunera os investidores de forma satisfatória.
Mas você sabe, na prática, como calcular viabilidade de uma empresa?
Afinal, todo empreendedor que decide abrir uma empresa o faz na expectativa de que seu modelo de negócio será um sucesso e trará bons rendimentos.
Mas um erro que muitos empresários e gestores costumam cometer é não avaliar a viabilidade econômica do negócio. Não basta ter uma boa ideia; é necessário garantir que ela seja financeiramente viável.
Ao pular essa importante etapa da concepção de um modelo de negócio, o empreendedor corre grandes riscos de sair no prejuízo. A verdade é que não tem como ser um empreendedor de sucesso sem avaliar adequadamente a viabilidade de sue negócio.
Se você está pensando em abrir uma empresa, então você não pode deixar de ler este artigo.
Nas próximas linhas, vamos explicar como calcular viabilidade de um negócio. Continue a leitura e saiba mais dobre estes indicadores que você deve usar para saber se vale a pena investir na sua “grande ideia de um novo negócio”:
Como calcular viabilidade de um negócio?
Calcular viabilidade de uma empresa é uma prática indispensável para que se possa compreender se o modelo de negócio em questão tem potencial para gerar lucros e, portanto, deve ser levado adiante.
Para isso, existem 4 indicadores que precisam ser mensurados e acompanhados. Confira a seguir como calcular viabilidade de um negócio por meio desses indicadores.
1 – Taxa Mínima de Atratividade – TMA
A Taxa Mínima de Atratividade (TMA) é fundamental para se calcular viabilidade de uma empresa.
Ela se refere se refere ao percentual mínimo de retorno que se espera dos investimentos feitos para conceber o modelo de negócio.
Não existe uma fórmula específica para calcular a TMA e sua definição da TMA pode ser feita com base em diferentes parâmetros. Na maioria das vezes, utiliza-se a taxa básica de juros da nossa economia, que é a Selic.
Portanto, se a empresa não for capaz de gerar um retorno superior à taxa Selic, então não vale a pena investir nessa ideia do ponto de vista financeiro.
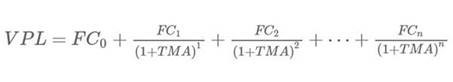
2 – Valor Presente Líquido – VPL
Outro indicador importante para quem quer saber como calcular viabilidade de um negócio é o Valor Presente Líquido (VPL).
Partindo do princípio de que o dinheiro de amanhã vale menos do que o dinheiro de hoje, o VPL busca “trazer” a expectativa de lucro com o modelo de negócio para os valores de hoje.
Ao calcular o VPL, é possível saber quanto que o lucro que espera receber valeria hoje; ou seja, qual seria o valor atual dos recebimentos que ainda estão por vir.

Sendo que:
O resultado deve ser positivo para que a empresa seja economicamente viável.
3 – Taxa Interna de Retorno – TIR
A Taxa Interna de Retorno também é um importante indicador para averiguar a viabilidade econômica de uma empresa.
A TIR se refere à porcentagem de retorno que se pretende obter sobre o valor investido no modelo de negócio.
A fórmula é basicamente a mesma que citamos anteriormente. Porém, a TIR deve substituir o TMA e o resultado do VPL deve ser igual a zero.
A empresa será economicamente viável se o valor da TMA for inferior à TIR.
4 – Payback
Por fim, temos o Payback. Esse indicador mostra em quanto tempo será possível recuperar o dinheiro que você investiu na sua empresa.
O cálculo vai depender da projeção do seu fluxo de caixa mensal. Se o seu investimento inicial foi de R$ 100 mil e o seu fluxo de caixa é de R$ 10 mil por mês, em 10 meses você terá recuperado todo o valor investido.
Se o Payback for muito longo, pode não ser uma boa ideia investir no seu modelo de negócio.
Caso tenha alguma dúvida sobre como calcular a viabilidade de sua empresa, faça uma consulta sem compromisso a FZ|BPO e veja como podemos ser úteis para sua empresa. Estamos nesse momento trabalhando em home office, mas nossos consultores estão atendendo normalmente pelo email bpo@fzbpo.com.br ou via as redes sociais.
Matéria adaptada do portal: https://nfe.io/
Para ver a matéria na íntegra acesse o link: https://nfe.io/blog/financeiro/como-calcular-viabilidade-negocio/